VIP동물의료센터 청담점 김종인 원장 참여 임상연구 결과, 미국수의사회 저널(AJVR)에 실려
- 작성자
- 관리자
- 등록일
- 2025-10-14
- 조회수
- 531
“골관절염 반려견, PN 관절주사제가 히알루론산보다 임상증상 개선에 더 효과”
서울대동물병원 및 로컬동물병원 3곳 참여 임상연구 결과, 미국수의사회 저널에 실려

몇 년 사이 다양한 성분의 반려동물용 관절주사제가 출시된 가운데, 관절주사제의 임상증상 개선 효과를 직접적으로 비교한 논문이 국제학술지에 게재되어 관심을 받고 있다.
서울대학교동물병원 정형·신경외과(지도교수 강병재)와 본동물의료센터(원장 김용선), VIP동물의료센터(원장 김종인), 정창수외과동물병원(원장 정창수)이 참여한 이번 연구 결과는 최근 SCIE 등재 학술지인 미국수의사회(AVMA) 저널 AJVR에 게재됐다.

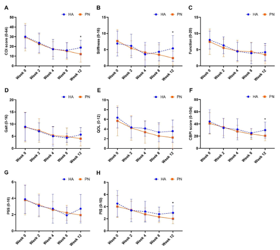
연구진은 2024년 2월부터 2025년 1월까지 임상증상 및 방사선학적으로 후지 골관절염 증상이 있는 1세 이상, 체중 15kg 미만의 반려견을 모집했다.
최종적으로 27마리의 반려견이 연구에 참여했다(HA 그룹 9마리, PN 그룹 18마리). 말티즈가 7마리로 가장 많았고, 포메라니안(6마리), 비숑프리제(3마리), 웰시코기(2마리) 등이 있었다. 평균 나이는 6.3세였고, 체중은 2.8~11.3kg이었다(중앙값 4.8kg).
PN 성분 관절주사제는 유한양행 애니콘주, HA 성분 관절주사제는 LG화학의 히루안플러스주를 사용했다.
연구진은 “골관절염을 앓는 개에서 PN 관절주사가 HA 관절주사에 비해 더 빠르고, 더 크고, 더 지속적인 임상증상 개선을 보였다”며 “이는 PN이 HA에 비해 더 나은 임상적 이점을 제공할 가능성을 뒷받침한다”고 설명했다.
각 개체는 관절 주사 이후 0주, 2주, 4주, 8주, 12주 총 5회에 걸쳐 평가를 받았다.
두 그룹에서 모두 전신 합병증이나, 예상하지 못한 부작용은 나타나지 않았다.
.
.
.
[출처_데일리벳] 클릭하시면 해당 뉴스기사로 이동합니다.
https://www.dailyvet.co.kr/news/academy/259559